#151

두 트리 연결하기

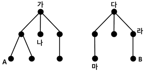
다음 그림의 두 트리에서, 왼쪽 트리의 한 정점과 오른쪽 그림의 한 정점을 길이가 0인 간선으로 연결하려고 한다.

다른 간선들은 모두 길이가 1일 때, A와 B를 잇는 경로의 길이가 5가 되려면 어느 두 노드를 연결해야 하는가?

Untitled

가-다

가-라

가-마

나-다

나-라

문제를 해결하려면 로그인해 주세요.

문제 형식

    객관식

출처

  • KOI 2022 1차대회 중등부 1교시 3번
  • KOI 2022 1차대회 초등부 1교시 7번
연습하기도전하기함께하기보고 배우기
공지사항 · 이용안내
|
회원가입로그인
연습하기도전하기함께하기보고 배우기공지사항 · 이용안내