#2262

최소 신장 트리

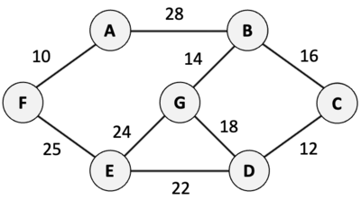
다음 그래프의 최소 신장 트리의 가중치는? 트리의 가중치는 트리에 포함된 간선의 가중치의 합이다.

Untitled

문제를 해결하려면 로그인해 주세요.

문제 형식

    주관식

출처

  • KOI 2024 1차대회 고등부 1교시 3번
  • KOI 2024 1차대회 중등부 1교시 7번
  • KOI 2024 1차대회 초등부 1교시 10번
연습하기도전하기함께하기보고 배우기
공지사항 · 이용안내
|
회원가입로그인
연습하기도전하기함께하기보고 배우기공지사항 · 이용안내