#2266

화살표 따라가기

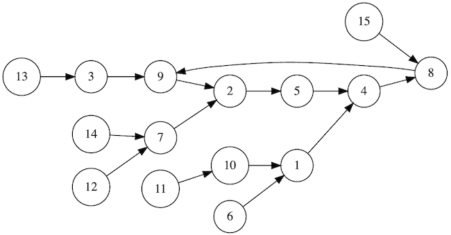
아래와 같이 정점이 15개이고, 모든 정점에서 출발하는 간선이 정확히 1개씩 있는 방향 그래프가 있다. 정점에는 1부터 15까지의 번호가 붙어 있다.

graphviz.png

를, 번 정점에서 시작하여 간선을 개 거쳤을 때 도달하는 정점의 번호라고 하자. 예를 들어 , , 이다.

이 5 또는 9인 모든 의 합은?

문제를 해결하려면 로그인해 주세요.

문제 형식

    주관식

출처

  • KOI 2024 1차대회 고등부 1교시 7번
  • KOI 2024 1차대회 중등부 1교시 10번
  • KOI 2024 1차대회 초등부 1교시 12번
PracticeChallengeClassLesson
Notices · Guide
|
회원가입로그인
PracticeChallengeClassLessonNotices · Guide