#2268

최소 힙 조건

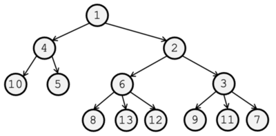
아래와 같이 정점이 13개인 트리가 있다.

트리

트리의 각 정점에 1부터 13까지의 서로 다른 자연수를 하나씩 배정하려고 한다. 이 때, 부모 노드에 배정된 수가 자식 노드에 배정된 수보다 반드시 작아야 한다.

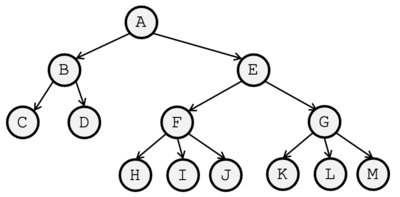
예를 들어, 아래와 같은 배정은 유효한 배정이다.

유효한 배정의 예시

주어진 조건을 만족하도록 자연수를 배정할 수 있는 경우의 수는 가지이다. 는 자연수이다. 의 값은?

문제를 해결하려면 로그인해 주세요.

문제 형식

    주관식

출처

  • KOI 2024 1차대회 고등부 1교시 9번
연습하기도전하기함께하기보고 배우기
공지사항 · 이용안내
회원가입로그인
연습하기도전하기함께하기보고 배우기공지사항 · 이용안내